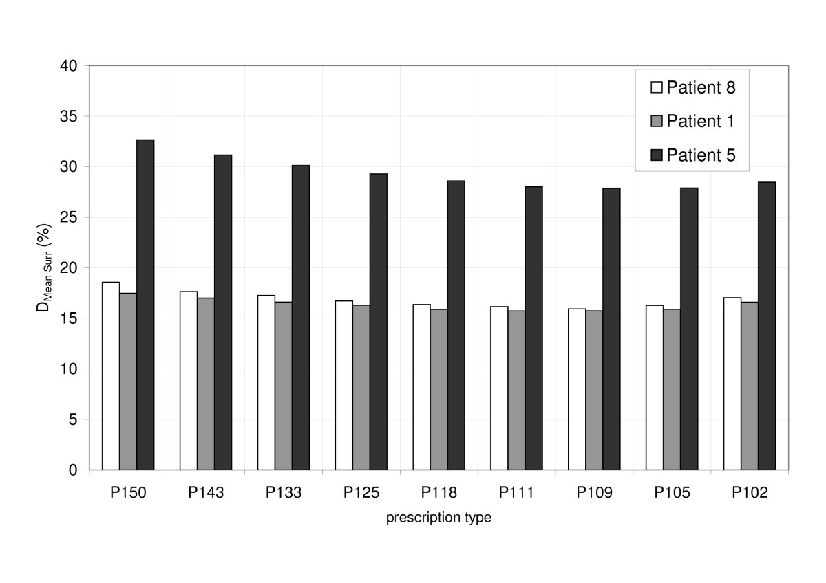
Figure 7From: Influence of increased target dose inhomogeneity on margins for breathing motion compensation in conformal stereotactic body radiotherapy Accumulated mean dose to the surrounding area D Mean Surr as a function of the dose prescription for three patients (#8, #1, #5). Back to article page